The raw material, plant-based sources of calcium with such high levels of the minerals made into Calcium-Magnesium with Vitamin D3 is uniquely harvested from seaweed off the coast of Iceland, A multi-mineral complex containing calcium, magnesium and 72 other trace marine minerals absorbed from the clean surrounding seawater of Iceland.
The ingredient’s unique porous honey combed sea vegetative cell structure provides significant benefits of bioavailability into the body.
The elements contained are at trace quantities and insignificant alone, but with a multi-mineral matric they work synergistically and give a powerful boost to the action of the calcium and magnesium.
Based on 33 peer reviews made into research over the last 10 years, the ingredient of Calcium-Magnesium with Vitamin D3 has been shown to improve mobility and stiffness associated with bone health concerns by inhibiting NF-kB and COX-2 activity.
In result it reduces the pain and stiffness associated with osteoarthritis. This paper details the studies undertaken thus far in the area of joint health.
CLINICAL EVIDENCE:
Reducing PTH Hormone Levels - Responsible for Releasing Calcium From Bone
Researchers at the University of Colorado have identified that calcium ingredient sourced from the red algae (Lithothamnion Calcareum) can suppress the release of the PTH hormone!
Elevated levels of this hormone later in life are believed to be responsible for causing calcium loss and osteoporosis (particularly during menopause). The researchers identified that the calcium ingredients found in Calcium-Magnesium reduced PTH levels by close to 25%!!
Naturally Produced Calcium ingredient of Calcium-Magnesium Suppresses the Release of PHT Hormones (A Key Component Involved in the Release of Calcium From Bones)
Active Doses of Medical Grade Magnesium Glycinate
Magnesium is a key element involved in bone health, with over 60% of all Magnesium in the body being found in bones. This essential mineral contributes to bone strength, mineralization and, it plays a large role in correct calcium absorption by activating the compound directly involved in Calcium processing (Vitamin D3 - see below). Insufficient Magnesium can therefore result in low calcium absorption (meaning the body is not incorporating enough calcium into the body which may lead to osteoporosis and/or the toxic build up of unabsorbed calcium!)
Magnesium also stimulates calcitonin, a hormone that helps preserve bone structure, draw calcium out of the blood and draw soft tissues back into the bones. This activity lowers risk for developing osteoporosis, heart disease, some types of arthritis and kidney stones.
Calcium-Magnesium with Vitamin D3 is made with Magnesium Glycinate, a medical grade compound produced in the USA. Some of the Magnesium in Calcium-Magnesium with Vitamin D3 is also plant based, having been accumulated by the algae Lithothamnion Calcareum.
Medical professionals recommend taking Magnesium with Calcium explaining that, without a careful balance of the two, excess unabsorbed calcium can lead to serious health complications!
"If we consume too much calcium without sufficient magnesium, not only will we create stress within the body but the excess calcium won't be utilized correctly and may become toxic"
--Carolyn Dean, MD, ND, Magnesium expert and medical director of the Nutritional Magnesium Association
CLINICAL EVIDENCE:
Magnesium Supplements Increase Bone Strength
A study from Japanese researchers that involved rats suffering from weak bone health, compared the effects of low and high Magnesium supplementation on bone strength. They found rats receiving a higher dose of Magnesium had significantly stronger bones. In fact the energy needed to cause a break was higher than that needed even for rats with healthy bones!
Increased Levels of Magnesium Supplementation Improves Bone Strength to Normal Levels in Rats With Poor Bone Health
A Synergistic Formulation With Vitamin D3
Vitamin D plays an extremely important role in Calcium absorption and calcium storage in bones. Vitamin D is produced naturally by the body in response to sunlight exposure. Unfortunately, most people presently struggle to generate adequate Vitamin D levels from the sun and regular diet. Calcium-Magnesium with Vitamin D3 compliments the body's in take from the sun and diet, ensuring it gets the amounts required for regular function and bone health.
- Muscle signaling (contracting and relaxing)
- Digestive health
- Nutrient absorption and utilization
- Blood circulation
- Brain health
- Heart health
- General cellular health and overall wellbeing of the body
CLINICAL EVIDENCE:
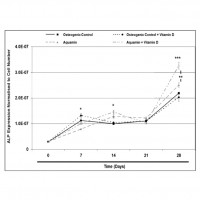
Synergistic Enhancement of Calcium Absorption and Bone Health with Vitamin D3
Packed With Over 90 Essential Trace Minerals!!
Calcium-Magnesium with Vitamin D3 is a rich source of many different essential trace minerals (over 90!!), each of these take part in various essential functions within the body, often needing to work together. Because these minerals are taken from one natural source, Cali-Mag synergistically enhances the body's overall function rather than focusing on a single aspect of health (this helps maintain the body's natural 'mineral homeostasis').
A key advantage of using a calcium supplement from an organic Ocean source is the co-accumulation of over 90 essential trace minerals. In a clinical study from researchers at the University of California found the calcium supplements, with the addition of trace minerals, worked significantly better than those with calcium alone. In fact, this treatment displayed improvement to bone density rather than simply reducing the amount of density loss!!!
Combination Treatment with Calcium and Trace Minerals Not Only Reduces Bone Mineral Density Loss But Increases It!
The Superior Bio-availability of Calcium-Magnesium with Vitamin D3
A key aspect to supplemental Calcium overlooked by most supplement manufacturers is the difficulty the body has in absorbing the mineral. Traditional Calcium supplement absorption has been shown to be as low as 1% (That's just 10mg of calcium from a giant 1 gram pill!!).The remaining excess Calcium can cause problems in the body putting strain on the gut and kidneys as they try to process the left over calcium. Cali-Mag has been specially formulated into smaller, easier to swallow and digest, capsules containing the optimal combination of ingredients for maximum absorption and effectiveness.
Calcium-Magnesium with Vitamin D3 has superior Bio-Availability
Made With Natural Sources
One benefit to using a natural organic source of Calcium is its superior bio-availability over other inorganic sources. Because it is collected and processed organically, the Calcium in Calcium-Magnesium with Vitamin D3 is chelated with (or bound to) natural compounds that are easily recognizable for the human body. This greatly assists the absorption rate during digestion and promotes accessibility for efficient use in bone health and regular body functioning.
Similarly, Magnesium Glycinate is a cheated compound that mimics the body's natural formation of Magnesium. This makes it easily and highly absorbable. Additionally, the structure of plant based calcium differs from its raw element equivalent. Because it is organically collected the calcium in Calcium-Magnesium with Vitamin D3 is very porous structure (unlike the very compact nature of raw Calcium), this effectively increases the surface area for Calcium in Calcium-Magnesium with Vitamin D3 making it easier for the body to digest.
Synergistically Formulated to Enhance Absorption
The unique combination of ingredients found in Calcium-Magnesium with Vitamin D3g was scientifically selected to maximize its absorption and effectiveness. This synergistic action helps ensure Vision Smart Center clients get the best value for money and strongest results from their bone health supplement.
SAFETY AND PURITY
Pure Ocean Calcium-Magnesium with Vitamin D3: Made with the Highest Quality, Purist, Safest and Most Effective Ingredients sourced from clean Iceland. The Purest and Most Bio-Available Source of Organic Calcium and with more than 70 trace minerals from the pristine pure sea water of Iceland. Containing the raw pure minerals found in algae rock, the main ingredients of calcium, magnesium and trace minerals of Vision Smart Center supplement are sustainably extracted from a rare sea water algae (Lithothamnion Calcareum).Calcium-Magnesium with Vitamin D3 is proven safe from heavy metals such as arsenic, lead, cadmium and Mercury.
칼슘은 우리의 뼈와 치아를 형성하고 튼튼하게 하는 중요한 미네랄 성분입니다. 또한 뇌에서 체내에 보내는 신호와 근활성도에 관여하며, 혈액순환에도 도움을 줍니다.
칼슘이 부족하면 신체는 대신 뼈에 저장된 일부를 제거하게 됩니다. 장기간 지속될 경우, 이것은 골절과 골화석증의 위험을 높이는 골밀도 저하를 가져올 수 있으며, (나이가 들면서 키가 작아지는) 척추가 붕괴되는 요인이 될 수 있습니다. 여성의 갱년기에 발생하는 호르몬 변화는 또한 뼈에서 칼슘이 급속하게 빠져나가는 요인이 됩니다. 최근 미 공중위생국장은 대부분의 사람들이 충분히 칼슘을 섭취하지 않는다고 경고하는 내용의 보고서를 발표했습니다. 2020년까지 40세 이상 미국인의 절반이상이 뼈가 약해 고통받을 것으로 예상되고 있습니다.
칼리맥(칼슘-마그네슘)+비타민D3는 골밀도를 유지하고 강화할 수 있도록 설계된 고품질의 영양제이며, 특히 칼리맥을 다른 영양제를 함께 섭취할 경우 더 높은 시너지 효과가 있습니다.
칼슘, 마그네슘, 비타민D3 그리고 70종류의 미량 미네랄을 함유한 칼리맥은 뼈를 유지하고 강화하기 위한 이상적인 배합구조를 가지고 있습니다. 각 성분은 순도와 안전, 그리고 가장 중요한 요소인 효과를 신중하게 고려하여 선정되었습니다.
자연적으로 킬레이트화된 식물성 칼슘
칼리맥의 칼슘은 아일랜드의 깨끗한 바닷가에서 자란 희귀한 붉은 해조류에서 지속가능한 방법으로 채취되었습니다:Lithothamnion Calcareum. 대부분의 다른 칼슘 영양제와는 달리 칼리맥의 칼슘은 무기물 형태를 포함하고 있으며 이것은 해조류에 의해 천연적으로 킬레이트화(단백질과 결합)된 것입니다. 따라서 칼리맥의 칼슘은 일반적인 칼슘 영양제보다 체내에서 한층 더 흡수 및 소화가 쉽게 이루어집니다.
활성 비타민D3
체내에서 비타민D3의 가장 중요한 역할은 뼈에 칼슘을 공급하는 일입니다. 칼슘과 함께 비타민D3를 섭취할 경우 몸은 효율적으로 뼈에 칼슘을 공급하게 됩니다.
의약품 수준의 마그네슘 글리시네이
트 우리 몸의 마그네슘의 60%이상은 뼈에서 발견되며, 뼈의 강화와 무기질화에 기여합니다. 마그네슘은 또한 비타민 D3가 칼슘이 뼈에 공급되도록 역할을 하도록 활성화시킵니다. 또한 칼슘을 너무 많이 섭취할 경우 몸의 마그네슘 수치를 감소시키기 때문에 어느 칼슘영양제를 섭취할 때도 마그네슘을 포함하는 제품을 섭취하는 것이 중요합니다. 칼리맥에는 선진적인 생산 기술을 사용한 글루시네이트 분자로 전문적으로 킬레이트화된 마그네슘이 들어있습니다.
필수 미량 미네랄
칼리맥은 70종류 이상의 미량 미네랄을 함유하고 있으며 이 성분은 해조류Lithothamnion Calcareum에 의해 자연적으로 침착되고 킬레이트화 된 것입니다. 각 미네랄 성분은 (칼슘, 마그네슘, 아연, 구리 등) 각각의 역할에 밀접한 관계를 가지고 있습니다. 이러한 미량 미네랄을 함께 섭취함으로써 칼슘의 올바른 활용과 칼슘의 뼈 공급을 향상시키는데 도움을 줄 수 있습니다(골밀도가 증가하는 것을 과학적으로 입증)
칼리맥은 뼈 건강을 향상시키는 데에 도움을 줄 뿐만 아니라 또한 아래 건강상태에도 도움을 줍니다.
- 근육 신호(수축과 이완)
- 소화 건강
- 영양 흡수 및 활용
- 혈액순환
- 두뇌 건강
- 심장 건강·
- 일반세포 건강 및 전반적인 몸 건강
칼리맥과 함께 다른 영양제를 섭취하시면 그 효과를 더 높일 수 있습니다
성인기준으로 식사와 함께 1일 3정 섭취하십시오. 전반적인 건강효과와 효능을 최대화하기 위해서는 비전스마트센터의 다른 영양제와 함께 섭취하실 것을 권장드립니다.
What does Vision Smart Center do to ensure the quality of VSC products?
1. Premium Quality of Raw Materials (Purity, Safety and potency) Vision Smart Center uses the world's most reputable ingredients suppliers and GMP certified manufacturing facilities for all ingredients and VSC Products. Our Operation Team scientifically selects and uses only premium quality ingredients that go into VSC supplements. Those ingredients are strictly selected not from cost but only from purity, potency, scientific research data..
2. Scientifically Supported Vision Smart Center uses ingredients and dosages that accurately replicate the most successful results obtained in scientific studies for maximum efficacy. Our Research Team assesses quality published clinical research for each ingredient and their health benefits. Each ingredient is then carefully selected by formulation experts and research specialists for their synergistic effectiveness.
3. Safely and Ethically Produced Vision Smart Center is in strict compliance with GMP standard for manufacturing, packaging and storage. Our Production Team has strict ethical guidelines: Ingredients and products must comply with environmental policies, be sustainably produced, environmentally friendly, and not to take advantage of any people.
4. VSC Product Guaranteed Vision Smart Center strictly implement the additional third party testing to confirm and ensure that products meet VSC’s high standards for purity, safety and efficacy. For maximum effectiveness and overall health benefits please also consider taking with other supplements from Vision Smart Center:
리뷰 (1)
| Quality |
|---|
-
like this product
Quality 09/10/2020SStevenHigh quality and readily absorbable

-
US$300.00
-
US$35.00 As low as: US$31.50
-
US$108.00 As low as: US$86.41
-
US$35.00 As low as: US$31.50
-
[SOLD OUT] Eye Sparkle 24 Bottle Set
US$45.00


